July 2011
Special Focus
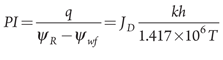
Propane-based fracturing improves well performance in Canadian tight reservoirs
Applied onshore New Brunswick, a frac fluid based on liquid petroleum gas resulted in longer fracture half-lengths and higher production rates compared with water-based fluid.


