June 2004
Special Focus
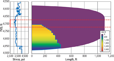
Low-density propping agents improve hydraulic fracturing
As demonstrated in the Permian basin, a new proppant remains nearly buoyant in water-based frac fluids and assures more complete packing of created fractures.


